微波介质陶瓷研究现状及其在5G/6G下的发展趋势
发布时间:2021-09-29
来源:战略规划部 作者:施赟舟
微波的频率范围为300 MHz~300 GHz,相应的波长从1 m到1 mm。微波通信技术具有抗干扰能力强、载波容量大、传输信息多等优势,微波通信技术在当代信息技术中具有极为重要的地位,在军事、民用通信、卫星通信、航空航天等领域有着广泛而深度的应用。微波介质陶瓷材料主要应用于微波频段电路中作为介质材料,该类材料通常在微波频段内具有较高的相对介电常数(10~100)、非常低的介质损耗和接近零的谐振频率温度系数,广泛应用于微波谐振器、滤波器、振荡器、移相器、微波电容器以及微波基板等。当前,微波器件的小型化、片式化和集成化是发展的方向和趋势,以 5G为代表的先进无线通讯技术的发展对微波介质陶瓷的性能提出了更高、更新的要求。
5G技术是全社会向数字化转型的基石,微波介质陶瓷元器件是通信基站射频单元的关键组件,在5G移动通信系统中具有不可替代的作用。随着全球5G网络规模化商用步入快车道,针对6G通信的研发布局已全面拉开帷幕,微波介质陶瓷的研究面临着诸多挑战与机遇。

图1. 电磁波频谱及不同频率下的应用。
1 微波介质陶瓷简介
1.1 微波介质陶瓷的主要性能指标
微波介质陶瓷材料是制造微波元器件的关键材料,除了要求必备的机械强度、化学稳定性及经时稳定性外,还要求它具有不同于一般电子陶瓷的特殊性能。目前,对于微波介质陶瓷,主要从相对介电常数εr ,谐振品质因数与频率乘积Q×f 值和谐振频率温度系数τf 三个技术指标来评价材料的先进性和实用性。
相对介电常数εr
电介质指在电场作用下所有能建立极化的物质,相对介电常数反映了电介质的宏观极化能力。 微波介质陶瓷属离子型晶体结构多晶材料,通常由晶相、晶界、气孔等组成,相对介电常数的变化服从对数混合规则:

式中,εr为陶瓷体系的相对介电常数,εi 为第i相的相对介电常数,υi 为第i相所占体积分数。
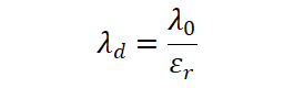
电磁波在电介质中与空气中传播的波长关系为:

式中,λd 为电磁波在介质中的波长,λ0为电磁波在真空中的波长,εr为材料的相对介电常数。对于介质谐振器而言,其尺寸与电磁波在介质中传播的波长有关,为λd /2~λd /4的整数倍。在相同频率下,电介质的εr 越高,λd就越小,相应的谐振器的尺寸也越小,有利于谐振器的小型化和品质的提高。为了获得高介电常数微波介质陶瓷,应选择高极化率离子形成氧八面体且具有大的氧八面体体积的晶体结构。通常,高介电常数微波介质陶瓷都具有钙钛矿结构或类钙钛矿结构。然而,对于低温共烧陶瓷(LTCC)基板材料而言,信号在介质中传输的时间正比于介电常数1/2次方,此时要求微波陶瓷相对介电常数尽可能小。因此,在不同的应用场景下,对于微波介质陶瓷的相对介电常数有不同的要求。
Q×f 值
品质因数Q是微波介质材料介电损耗的一个度量标准,Q = 1/tanδ。在微波频段下,介质损耗tanδ 要?。ɑ蚱分室蚴?/span>Q要高),一般要求tanδ < 10-4,以保证优良的选频特性,并降低器件在高频下的插入损耗。Q×f 值是品质因数Q 与谐振频率f的乘积。同一材料在不同的测试频率下具有不同的损耗,而Q×f 值将频率因素消去,为一常数,因此通常用Q×f 值来比较不同材料在不同谐振频率下损耗的大小。Q×f 值越高,材料的介电损耗越小,性能越好。
微波介质陶瓷在微波频段内的介质损耗通常来源于三方面:①理想晶体中,由于非简谐晶格力引起晶格声子相互作用而产生的损耗,导致光频声子阻尼和由此而产生的微波损耗,称为本征损耗;②均匀的实际晶体或微晶中,由晶格缺陷(如点缺陷、空位、取代原子或缔合缺陷等)引起声子散射导致的损耗;③实际的非均匀陶瓷中的杂质缺陷偶极子或空间电荷在位错、晶界、包裹物和第二相等界面上的弛豫过程引起的损耗,后两者又称为非本征损耗。原则上通过合适的工艺可将非本征损耗消除或降至最小。
谐振频率温度系数τf
谐振频率温度系数用来衡量微波介质材料和器件的温度稳定性,由以下公式计算得到:

式中, f0 和fT 分别为室温T0 和温度T 下的谐振频率。τf 越接近零,表明材料的热稳定性越好,一般要求τf 值范围在±10 ppm/℃以内。目前,调节材料的τf 主要有两种途径:一是采用具有相反温度系数的材料和要调节的材料形成多相复合材料,二是采用具有相反温度系数且结构相近的材料形成固溶体。
1.2 微波介质陶瓷的分类
微波陶瓷可以按介电性能和材料体系进行分类。本文主要按介电常数的大小不同对微波介质陶瓷进行分类,分为低介、中介和高介微波介质陶瓷三类。通常来讲,微波介质陶瓷的相对介电常数越大,其Q 值会减?。ㄍ?/span>2展示了微波介质陶瓷的主要材料体系及介电常数与Q×f 值的关系)。

图2. 微波介质陶瓷研究与发展的三个方向。
低介微波陶瓷是指εr<20且Qxf值>50000GHz的微波介质陶瓷,主要用于f≥10GHz的卫星直播等微波通讯领域。随着微波通信和雷达技术的快速发展,微波技术向着更高频即毫米波和亚毫米波的方向发展,εr<15、具有高Q与近零谐振频率温度系数的超低介微波介质材料也越来越受到关注。中介微波陶瓷是指εr=20~70且Qxf值>20000GHz的微波介质陶瓷,主要应用于微波军用雷达及微波通讯系统中作为介质谐振器件,移动通信基站的小型化迫切需要研究开发频率温度系数小的高Q值、中等εr的微波介质陶瓷新材料。高介微波陶瓷是指εr>70的微波介质陶瓷。相对于中介、低介微波介质陶瓷来说,高介微波介质陶瓷的种类较少,主要应用于f<2GHz的民用移动通信中。表1~表3为各类微波介质陶瓷的代表材料体系及其微波介电性能。
表1. 低介微波介质陶瓷体系代表及其微波介电性能。

表2. 中介微波介质陶瓷体系代表及其微波介电性能。

表3. 高介微波介质陶瓷体系代表及其微波介电性能。

2 微波介质陶瓷研究现状概述
2.1 国内外研究现状
1939年,Richtmyer从理论上证明了电介质在微波电路中用作介质谐振器的可能性后,美国便率先开始了微波介质陶瓷材料的研制。接着,日本以及法国、德国等欧洲国家相继开始这方面研究。随着日本对介质陶瓷进行大规模实用化生产,微波介质陶瓷材料得到了蓬勃发展和广泛应用,松下、村田等公司都研发出了各具特色的微波介质材料体系。目前微波陶瓷材料和器件的生产水平以日本村田公司、德国EPCOS公司、美国Trans-Tech公司、Narda Microwave-West公司、英国Morgan Electro Ceramics等公司为最高。

图3. 微波介质陶瓷发展历程。
相较而言,我国微波介质陶瓷的研究起步较晚,始于20世纪80年代。90年代,国家对微波介质陶瓷的研究愈发重视,同时国内在设备仪器和合成工艺等方面有了极大的改善,我国研究人员陆续研发出了钛酸盐、钼酸盐和磷酸盐等一系列新型陶瓷材料。2009年9月,国家发改委、工信部发布《电子信息产业调整和振兴计划》,微波介质陶瓷元器件被列入改造投资方向,标志着微波介质陶瓷进入优化发展时期。2015年5月,国务院发布《中国制造2025》,明确将微波介质陶瓷列为关键性战略材料。2017年4月,科技部发布《“十三五”材料领域科技创新专项规划》,侧重引导突破微波介质陶瓷制备关键技术,争取实现微波介质陶瓷供给侧改革。能够自主研发满足移动通信技术要求的新型微波介质陶瓷材料对国家的安全具有重要意义,目前国内研究微波介质陶瓷的主要单位有:中科院、中电13所以及清华大学、浙江大学、西安交通大学、华中科技大学以及电子科技大学等高校。
尽管我国在微波介质陶瓷材料及元器件的研究与生产商仍与国外存在一定差距,许多关键性材料都依赖进口。但是,在产学研模式运用逐渐成熟、下游行业需求旺盛、定制化与一体化生产模式紧密结合等因素的驱动下,国内微波介质陶瓷行业的技术水平不断升级,高频化、多频化、集成化、微型化和??榛晌幸导际醯姆⒄骨魇?。
目前关于微波介质陶瓷的研究通常围绕以下几个方面开展:
(1)提高微波介质陶瓷的介电性能。利用离子置换、复合等多种方式对现有微波介质陶瓷材料体系的性能进行改善。如采用离子置换等手段提高微波介质陶瓷的品质因数,通过与高介电常数的材料复合提高微波介质陶瓷的介电常数,通过两相复合调节τf 近零从而改善和微波介质陶瓷的温度稳定性等。
(2)降低微波介质陶瓷的烧结温度,满足低温陶瓷共烧技术的要求。LTCC技术可以使器件高度集成。由于需要与银(961 °C)等低熔点电极共烧,要求器件所用陶瓷粉料具有低的烧结温度。降低烧结温度也可抑制某些基板成分高温下挥发或发生化学反应,还可以减少能源的消耗。目前,降低烧结温度的主要途径是添加助烧剂(如低熔点的玻璃)。
(3)改进工艺,开发新的材料合成技术,以获得性能更为优异的微波介质陶瓷材料,并降低生产成本。提高微波介质陶瓷的介电性能,除了改变成分,还可以通过改进制备工艺来实现。一般而言,大幅度改进微波陶瓷材料的合成工艺能够使陶瓷材料的性能有着明显的提高。利用热压烧结、微波快速闪烧等方法,可提高陶瓷的致密性,使基体的气孔减少、晶粒尺寸分布更均匀,从而提高微波介质陶瓷的品质因数。
(4)探索新的微波介质陶瓷材料体系。根据元素周期表中各元素本征特性关系,探索具有良好介电性能的新型微波介质陶瓷材料新体系,以便满足5G及6G通信技术的发展要求。
(5)材料机理研究。研究微波介质陶瓷材料的极化机理与材料损耗之间的关系,研究缺陷与介电性能的关系,分析材料气孔、物相结构等对微波介电性能的影响,从理论基础上了解改善陶瓷材料微波介电性能的依据,并可利用理论指导微波介质陶瓷材料的研发。
2.2 微波介质陶瓷行业的产业链分析
如图4所示,微波介质陶瓷行业的产业链分为三部分:上游参与者为原材料和设备的供应商,中游主体为微波介质陶瓷元器件生产企业,下游由信息通信、航空航天、雷达、汽车等不同应用领域的各类生产企业构成。

图4. 微波介质陶瓷行业产业链。
微波介质陶瓷制造中需使用高纯原料,上游的陶瓷粉体材料占微波介质陶瓷类产品成本约为30%,陶瓷粉体的龙头企业有日本村田、日本京瓷、广东风华高科、无锡鑫圣慧龙、无锡惠虹电子。微波介质陶瓷制备的工艺参数须经严格控制以达到杂质少、缺陷少、晶粒分布均匀、微波介电性能良好的效果。微波介质陶瓷制备技术包括固相法、湿化学合成法、水热法三大技术体系,涉及到的工艺复杂,技术壁垒高。微波介质陶瓷元器件有诸多不同的应用方向(见表4)。下游参与者为通信设备生产企业和微波通信类消费类电子产品生产企业,其中华为、中兴、爱立信、大唐移动、三星、诺基亚等企业垄断了中国通信设备行业的绝大部分市场份额,对中游企业有很强的议价能力。
表4. 微波介质陶瓷元器件应用方向。

微波介质陶瓷行业的生产技术壁垒,行业内企业数量少,整体供给能力较弱,一定程度上制约了行业的规模化发展。一方面,微波介质陶瓷元器件的生产涉及多学科交叉,需要材料科学、微波与电磁场、电子技术与应用、微波与射频测量技术、电磁兼容与可靠性技术等多学科的理论与技术,难度大;另一方面,下游的通信行业产品种类多、市场需求更新频繁。这要求企业具备不断升级的研发实力和对于新产品的快速响应能力。目前,国内具有自主研发生产能力的微波介质陶瓷企业不到20家,具备批量化生产能力的企业只有几家,且在技术水平和产品品种上与国际龙头企业依然存在显著差距。在高端微波介质陶瓷市场,国际龙头企业更是占据了近90%的市场份额。
微波介质陶瓷元器件的产品质量和实际效果直接影响下游整机产品的质量,这对行业整体的标准体系建设提出了较高的要求。然而,现行业标准还是原电子工业部于1991年制定的行业标准《微波介质材料A-陶瓷》,更新速度缓慢,覆盖类型和体系不完善,配套细分标准有待完善。此外,国内专业配套的产品质量检测中心较少,难以确保微波介质陶瓷及其元器件的高品质产出。质量测试产业配套不完善在一定程度上制约了行业高质发展。标准建设不完善和质量测试产业配套不完善亦在一定程度上制约了我国微波介质陶瓷行业的高质发展。
3 5G/6G应用下的新机遇
微波介质陶瓷元器件的重要应用方向为移动通信基站,介质谐振器、介质滤波器、双工器和多工器均是通信基站射频单元的关键组件。大规模建立5G基站对微波介质陶瓷材料提出了高速、高频、高度集成化和超低损耗等性能要求,开发出具有低损耗、高稳定性等优异性能的微波介质陶瓷材料是近年功能陶瓷方向研究的重点之一。
微波介质陶瓷行业整体处于5G产业链上游,在各省市的5G规划中,重点关注5G上游射频元器件、有源阵列天线等关键技术与核心元器件的突破和发展,并制定了全方位扶持政策,这将带动微波介质陶瓷元器件的快速发展。5G通信技术提升,基站数量大幅增(将是4G时代的4~5倍),对微波通信元件需求巨大。5G天线的通道数量是4G时代的7~15倍,意味着对射频器件中微波介质陶瓷元器件的需求量是4G时代的7~15倍。小型化和轻量化成为天线设计的基础,相较于金属滤波器,微波陶瓷介质波导滤波器可实现高抑制的系统兼容,体积更小,重量更轻,成为5G基站的主流技术方案。
随着全球5G网络规?;逃貌饺肟斐?span style="font-size: 16px; font-family: 微软雅黑;">道,针对6G研发的战略性布局已全面拉开帷幕。尽管业界虽然还尚未对6G的愿景、关键技术、标准等形成统一的共识,但普遍预期6G在2030年左右开始商用,未来3~5年将是6G研发的关键窗口期。相较于5G,6G将具有更加泛在的连接、更大的传输带宽、更低的端到端时延、更高的可靠性和确定性以及更智能化的网络特性。
国际电信联盟(ITU)于2019年11月23日宣布,世界无线电通信大会(WRC-19)已确定5G新增频谱的新决议,将24.25 GHz~27.5 GHz、37 GHz~43.5 GHz、66 GHz~71 GHz共14.75GHz带宽的频谱标识用于5G 和未来国际移动通信系统,表明其中部分毫米波频段或可用于6G。同时,WRC-19正式批准了275 GHz~296 GHz、306 GHz~313 GHz、318 GHz~333 GHz和356 GHz~450 GHz共137 GHz带宽的资源可用于固定和陆地移动业务应用,这些频段未来可能用于6G通信业务。

图5. 近十年以特定国家/地区为目的地的6G关键技术专利申请量。
近年来,全球6G专利快速发展(见图5),6G相关的关键技术专利申请量呈攀升态势(2020 年由于受新冠肺炎影响,申请量有所减少),技术开始加速更新迭代。各国已启动6G研究,各大企业与研究机构对6G具体潜在技术的构想略有区别,但已逐步收敛于“至简+柔性+数字孪生”、立体网络覆盖、全频段组网、超大规模天线、感知通信一体化、AI使能空口、新材料、新器件、新天线、新基站、可见光通信、确定性数据传输、算网融合等领域。在面向6G时代的研究中,需强化储备6G潜在关键技术,积极推进新材料、仪器仪表等关联产业基础储备,进行6G 应用场景的前瞻研究和应用试验,保护知识产权,做好专利储备与布局,实现产业链自主可控。
表5. 各国家或组织6G研究情况。

太赫兹通信技术可能是未来6G通信技术发展的一个重要方向。太赫兹频率在0.1~10THz波段,波长为0.03 ~3 mm,处于微波与红外光谱之间。与微波相似,太赫兹能穿透不导电材料,此外,太赫兹的宽频带能提供达几GB/秒的传输速率, 在高速通信等领域有良好的应用前景。但是在太赫兹频段,只有非常少的低损耗材料符合使用要求。目前,太赫兹频段下的研究主要集中在聚合物和半导体,对于陶瓷在太赫兹下介电性能的系统研究刚刚开始。陶瓷在太赫兹频段下的测试面临两个问题:一是陶瓷的低损耗使得信号对比度小,误差增加;另一方面,陶瓷具有相对高的介电常数,在空气与陶瓷界面会引起多反射。微波介质陶瓷的折射率可调(高折射率有利于器件小型化和集成)、耐高温、强度高、成本低,但在太赫兹下损耗和吸收系数较高。因此,要实现微波介质陶瓷在太赫兹频段的应用,首先需要发展准确、可靠的表征技术,确保正确测量材料在太赫兹下的性能;二要进一步降低材料的损耗、提高Q值;三要探索新的、合适的材料体系,简单地认为现有性能优异的微波介质陶瓷材料体系在太赫兹下也能表现出良好性能是不严谨的。
微波介质陶瓷是5G/6G通信的关键基础材料,未来的研究应围绕以下重点展开:①进一步提高材料微波介电性能,降低介电损耗,尤其是研发超低介电常数(εr <20)以及中高介电常数(εr =60~80)的材料;②利用先进测试表征技术和计算方法从本征因素和非本征因素角度研究微波介质陶瓷的介电响应机理;③深入探索烧结助剂的降温机理,发展LTCC技术,在降低微波介质陶瓷烧结温度的同时仍使其具有优异的介电性能;④响应5G/6G技术发展对上游材料及元器件的新需求,研发合适的材料体系,积累生产技术经验,力争实现产业链的自主可控。
6G时代我国将面临比5G时代更为激烈的竞争,乃至不公平的封锁,应贯彻落实“十四五规划纲要”的要求,牢牢把握未来3~5年的关键窗口期,科学有序推进关键材料、关键技术的研发,实现高水平科技自立自强。
主要参考资料:
1. 6G 全球进展与发展展望白皮书, 赛迪智库, 2021.
2. 闻立群, 王亦菲, 李晖,等. 主要国家和地区5G发展战略举措及对我国的启示, 2021.
3. 张文帝. 布局6G抢先机[J].中国电信业,2021(08):34-39.
4. Wireless Communications and Applications Above 100 GHz: Opportunities and Challenges for 6G and Beyond[J]. IEEE Access, 2019, 7:78729-78757.
5. Ohsato H , Tsunooka T , Sugiyama T , et al. Forsterite ceramics for millimeterwave dielectrics[J]. Journal of Electroceramics, 2006, 17(2-4):445-450.
6. 张迎春, 黄延伟, 张远谋,等. 钙钛矿和类钙钛矿型微波介质陶瓷的研究进展[J]. 硅酸盐学报, 2021, 49(4):15.
7. 王文文. Li-Mg-Nb系微波介质陶瓷改性研究[D].电子科技大学,2020.
8. 熊喆. Ba/Ca-Nd-Ti基高介微波介质陶瓷制备与改性机理研究[D].电子科技大学,2020.
9. 张杰. 高Q微波介质陶瓷材料的改性及缺陷-性能的关联研究[D].清华大学,2016.10. 2019年中国微波介质陶瓷行业概览, 头豹研究院.

作者简介
施赟舟,毕业于清华大学材料学院,先后获得学士学位和博士学位,2020年11月加入姑苏实验室战略规划部,负责实验室发展的战略规划及科研业务规划工作。





苏公网安备 32059002003194号